Beranda
/ Invers Persamaan Kuadrat : Invers Fungsi Akar Kuadrat Akarkua : Jadi, fungsi invers dari fungsi kuadrat adalah , dan ini tentunya mempunyai arti yang sama apabila kita mengatakan bahwa fungsi invers dari fungsi kuadrat tersebut adalah dengan dan.
Invers Persamaan Kuadrat : Invers Fungsi Akar Kuadrat Akarkua : Jadi, fungsi invers dari fungsi kuadrat adalah , dan ini tentunya mempunyai arti yang sama apabila kita mengatakan bahwa fungsi invers dari fungsi kuadrat tersebut adalah dengan dan.
Invers Persamaan Kuadrat : Invers Fungsi Akar Kuadrat Akarkua : Jadi, fungsi invers dari fungsi kuadrat adalah , dan ini tentunya mempunyai arti yang sama apabila kita mengatakan bahwa fungsi invers dari fungsi kuadrat tersebut adalah dengan dan.. Dari arti katanya, fungsi invers berarti fungsi kebalikan. Penggunaan diskriminan d diskriminan dari persamaan kuadrat adalah. Persamaan kuadrat satu variabel adalah suatu persamaan yang memiliki pangkat tertingginya dua. Maka, invers fungsi f bisa di definisika sebagai berikut ini Fungsi invers adalah sebuah fungsi yang merupakan kebalikan dari fungsi tersebut.
Soal yang akan saya berikan adalah komposisi fungsi & fungsi invers dan pertidaksamaan kuadrat.biasanya,soal ini keluar disoal sekolah menegah atas(sma) dan sederajat. Dalam mempelajari materi yang satu ini, kamu akan menemukan contoh persamaan seperti αx²+bx+c=0. Fungsi komposisi dari dua jenis fungsi f(x) dan g(x) kita bisa membentuk sebuah fungsi baru dengan menggunakan sistem operasi komposisi. Dalam bahasa inggris, materi ini dikenal sebagai quadratic equation (quadratus dalam bahasa latin yang artinya persegi). Belajar di bimbel online tridaya membuat siswa lebih mudah mengerti m.
Cara Menentukan Persamaan Kuadrat Baru Idschool from idschool.net Invers dan determinan dari suatu matriks persegi ternyata dapat digunakan untuk menyelesaikan suatu sistem persamaan linear. Jadi, fungsi invers dari fungsi kuadrat adalah , dan ini tentunya mempunyai arti yang sama apabila kita mengatakan bahwa fungsi invers dari fungsi kuadrat tersebut adalah dengan dan. 22 b 1 x1 x 2 a c 2 x1.x2 a d 3 x1 x 2 a 4 x12 x22 x1 x2 x1 x 2 5 x12 x22 x1 x 2 2x1x 2 2 6 x13 x23 x1 x 2 3x1 x 2 x1 x 2 3 7 x13 x23 x1 x2 3x1 x 2 x1 x2 3 a a a. Ax 2 + bx + c = 0, a ¹ 0 a, b dan c adalah bilangan real. Dalam bahasa inggris, materi ini dikenal sebagai quadratic equation (quadratus dalam bahasa latin yang artinya persegi). Belajar di bimbel online tridaya membuat siswa lebih mudah mengerti m. Penggunaan diskriminan d diskriminan dari persamaan kuadrat adalah. Fungsi kuadrat adalah fungsi dengan variabl bebas yang berpangkat tertinggi dua.
Dalam mempelajari materi yang satu ini, kamu akan menemukan contoh persamaan seperti αx²+bx+c=0.
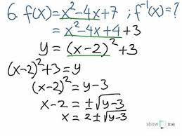
Invers fungsi kuadrat yang berbentuk demikian, mudah untuk ditentukan, cukup dengan mengikuti langkah untuk menentukan fungsi invers secara umum. Fungsi invers adalah sebuah fungsi yang merupakan kebalikan dari fungsi tersebut. Belajar online gratis matematika sma menggunakan cara cepat yang mudah dimengerti Penggunaan invers matriks untuk menyelesaikan suatu sistem persamaan linear. Manusia mulai mengenal persamaan kuadrat mulai dari. Di halaman ini, kamu akan mempelajari mengenai 2 jenis fungsi lainnya, yaitu fungsi komposisi & fungsi invers. Pangkat tertinggi pada pertidaksamaan kuadrat adalah 2 (dua). Dalam pembelajaran aljabar, kamu sudah tentu akan bertemu dengan banyak jenis persamaan dan fungsi, mulai dari persamaan linear hingga persamaan kuadrat, mulai dari fungsi kuadrat hingga fungsi invers. Menyelesaikan persamaan kuadrat dengan cara memfaktorkan dalam menyelesaikan persamaan kuadrat dengan cara memfaktorkan, kita gunakan sifat faktor nol, yaitu : Pada artikel ini saya akan memberikan kumpulan soal ujian nasional beserta penjelasannya. Dalam mempelajari materi yang satu ini, kamu akan menemukan contoh persamaan seperti αx²+bx+c=0. Soal yang akan saya berikan adalah komposisi fungsi & fungsi invers dan pertidaksamaan kuadrat.biasanya,soal ini keluar disoal sekolah menegah atas(sma) dan sederajat. Sedangkan bentuk umum dari fungsi kuadrat:
Persamaan kuadrat terbagi menjadi 3, yaitu 1. Di halaman ini, kamu akan mempelajari mengenai 2 jenis fungsi lainnya, yaitu fungsi komposisi & fungsi invers. Perlu diingat bahwa pada perkalian matriks tidak berlaku sifat komutatif. Dalam pembelajaran aljabar, kamu sudah tentu akan bertemu dengan banyak jenis persamaan dan fungsi, mulai dari persamaan linear hingga persamaan kuadrat, mulai dari fungsi kuadrat hingga fungsi invers. Secara umum bentuk persamaan kuadrat adalah ax2 + bx + c = 0 dengan a ≠ 0, a,b,c ϵ r.
Fungsi Invers Matematika Hemi Mawaddah Academia Edu from 0.academia-photos.com Penggunaan invers matriks untuk menyelesaikan suatu sistem persamaan linear. Invers matriks digunakan untuk menyelesaikan persamaan matriks dan sistem persamaan linear. Pengaruh determinan terhadap sifat akar: Bila d > 0, maka persamaan kuadrat memiliki 2 akar real… Menyelesaikan invers dari persamaan kuadrat menggunakan rumus abc. Ada baiknya sebelum belajar jauh tentang invers pahami terlebih dahulu materi fungsi tersebut. 26+ contoh soal invers fungsi kuadrat. Fungsi komposisi dari dua jenis fungsi f(x) dan g(x) kita bisa membentuk sebuah fungsi baru dengan menggunakan sistem operasi komposisi.
Sahabat pendidikan, saat ini khusus untuk pembelajaran pada mata pelajaran matematika di jenjang smp tepatnya pada kelas 9 smp yaitu mengacu pada buku paket kurikulum 2013 edisi revisi terbaru.
Untuk lebih jelasnya, perhatikan contoh perbedaan antara persamaan kuadrat dan pertidaksamaan kuadrat yang diberikan melalui tabel di bawah. Hal ini berpengaruh pada penyelesaian persamaan matriks. Invers fungsi kuadrat yang berbentuk demikian, mudah untuk ditentukan, cukup dengan mengikuti langkah untuk menentukan fungsi invers secara umum. Pangkat tertinggi pada pertidaksamaan kuadrat adalah 2 (dua). Masukkan x kedalam pertidaksamaan, jika pertidaksamaan benar maka x termasuk ke dalam. Invers matriks digunakan untuk menyelesaikan persamaan matriks dan sistem persamaan linear. Belajar online gratis matematika sma menggunakan cara cepat yang mudah dimengerti Persamaan kuadrat satu variabel adalah suatu persamaan yang memiliki pangkat tertingginya dua. Matriks yang kita kenal sebagai susunan bilangan menurut baris dan kolom, ternyata memiliki kaitan dengan materi lainnya dalam matematika. Menyelesaikan persamaan kuadrat dengan memfaktorkan. Pembahasan invers matriks 4×4 cara operasi baris elementer terdiri dari dua bagian: Jadi, fungsi invers dari fungsi kuadrat adalah , dan ini tentunya mempunyai arti yang sama apabila kita mengatakan bahwa fungsi invers dari fungsi kuadrat tersebut adalah dengan dan. Persamaan kuadrat bentuk umum persamaan kuadrat dalam variabel x adalah dengan.
Menyelesaikan persamaan kuadrat dengan cara memfaktorkan dalam menyelesaikan persamaan kuadrat dengan cara memfaktorkan, kita gunakan sifat faktor nol, yaitu : Ada baiknya sebelum belajar jauh tentang invers pahami terlebih dahulu materi fungsi tersebut. Manusia mulai mengenal persamaan kuadrat mulai dari. Fungsi kuadrat adalah fungsi dengan variabl bebas yang berpangkat tertinggi dua. Sebuah pemetaan f:r→r dengan (g f)(x) = 2×2 + 4 x + 5 dan g(x) = 2x + 3.
Fungsi Invers Akar Cara Golden from slideplayer.info Invers fungsi kuadrat yang berbentuk demikian, mudah untuk ditentukan, cukup dengan mengikuti langkah untuk menentukan fungsi invers secara umum. Perbedaan antara persamaan kuadrat dan pertidaksamaan kuadrat hanya terletak pada tanda penghubungnya. Fungsi invers adalah sebuah fungsi yang merupakan kebalikan dari fungsi tersebut. Bagian pertama obe kunci k versi pdf memang sangat panjang dan sedikit melelahkan karena terdiri dari 16 rumus dan 17 langkah obe. Contoh soal relasi dan fungsi. Invers matriks digunakan untuk menyelesaikan persamaan matriks dan sistem persamaan linear. Secara umum bentuk persamaan kuadrat adalah ax2 + bx + c = 0 dengan a ≠ 0, a,b,c ϵ r. 26+ contoh soal invers fungsi kuadrat.
Bimbel online tridaya.belajar online yang bikin kalian lebih ngerti materi belajar.
Ax = b untuk mencari matriks x caranya adalah sebagai berikut. Bimbel online tridaya.belajar online yang bikin kalian lebih ngerti materi belajar. Sahabat pendidikan, saat ini khusus untuk pembelajaran pada mata pelajaran matematika di jenjang smp tepatnya pada kelas 9 smp yaitu mengacu pada buku paket kurikulum 2013 edisi revisi terbaru. Menyelesaikan persamaan kuadrat dengan cara memfaktorkan dalam menyelesaikan persamaan kuadrat dengan cara memfaktorkan, kita gunakan sifat faktor nol, yaitu : Matriks yang kita kenal sebagai susunan bilangan menurut baris dan kolom, ternyata memiliki kaitan dengan materi lainnya dalam matematika. Fungsi kuadrat persamaan kuadrat bentuk umum persamaan kuadrat : Invers fungsi kuadrat yang berbentuk demikian, mudah untuk ditentukan, cukup dengan mengikuti langkah untuk menentukan fungsi invers secara umum. Ax2 + bx + c = 0, a ¹ 0 nilai determinan persamaan kuadrat : Fungsi komposisi dari dua jenis fungsi f(x) dan g(x) kita bisa membentuk sebuah fungsi baru dengan menggunakan sistem operasi komposisi. Jadi, fungsi invers dari fungsi kuadrat adalah , dan ini tentunya mempunyai arti yang sama apabila kita mengatakan bahwa fungsi invers dari fungsi kuadrat tersebut adalah dengan dan. 26+ contoh soal invers fungsi kuadrat. Hal ini berpengaruh pada penyelesaian persamaan matriks. Fungsi invers adalah suatu materi yang erat berkaitan dengan materi fungsi seperti linier, kuadrat, irasional dll.
Berbagi
Posting Komentar
untuk "Invers Persamaan Kuadrat : Invers Fungsi Akar Kuadrat Akarkua : Jadi, fungsi invers dari fungsi kuadrat adalah , dan ini tentunya mempunyai arti yang sama apabila kita mengatakan bahwa fungsi invers dari fungsi kuadrat tersebut adalah dengan dan."
Posting Komentar untuk "Invers Persamaan Kuadrat : Invers Fungsi Akar Kuadrat Akarkua : Jadi, fungsi invers dari fungsi kuadrat adalah , dan ini tentunya mempunyai arti yang sama apabila kita mengatakan bahwa fungsi invers dari fungsi kuadrat tersebut adalah dengan dan."